【綠建築節能必看】U值與Uar值完整解說,如何透過XPS(PS板)有效降低能耗
一、什麼是U值與Uar值?兩者差異解析
U值與Uar值是評估建築物隔熱性能的重要指標,U值用於單一構造,Uar值用於整體屋頂或牆面,差異如下:| 項目 | U值(熱傳透率) | Uar值(屋頂平均熱傳透率) |
| 適用範圍 | 單一材料或構造 | 多種構造組成的整體屋頂 |
| 計算方式 | 依熱阻相加取倒數 | 以面積加權平均U值 |
| 實務用途 | 牆面、屋頂單一構造評估 | 整體隔熱性綜合評估 |
二、U值計算方式(淺顯易懂解說)
U值越低,隔熱效果越佳。簡易公式如下:
- 室外氣膜(Rs):0.04 m²·K/W (台灣法規建議值)
- 室內氣膜(Re):0.12 m²·K/W (台灣法規建議值)
- 各材料熱阻:

多層材料實例計算:
假設屋頂材料構造如下:| 材料 | 厚度 (m) | 熱傳導係數 (k) | 熱阻 R (d/k) |
| RC混凝土 | 0.12 | 1.75 | 0.0686 |
| XPS(PS板) | 0.05 | 0.03 | 1.667 |
| 防水層 | 0.01 | 0.2 | 0.05 |
總熱阻 = 0.04 + 0.0686 + 1.667 + 0.05 + 0.12 = 1.9456 m²·K/W
U值 =
W/m²·K
U 值 = 1 ÷ 熱阻總和,而熱阻 = 厚度 ÷ 熱傳導係數,
所以增加 XPS 的厚度(例如從 3cm 增加為 5cm 或 10cm),就能大幅拉高熱阻、降低 U 值。
調整構造設計 → 增加隔熱層厚度 or 複合構造
實例比較:
| XPS 厚度 | 熱阻 R 值 | 對應 U 值 |
| 3 cm | 1.0~1.2 | 約 0.9~1.0 |
| 5 cm | 1.5~1.8 | 約 0.6~0.7 |
| 10 cm | 3.0+ | 約 0.3~0.4 |
除了厚度,設計上也可採「複合式屋頂」配置,例如:
- XPS + 綠屋頂(植物覆蓋層)
優化屋頂面積配置 → 增加低 U 區域比重
由於 Uar 是「各區塊 U 值 × 面積的加權平均」,因此若您無法讓所有區塊都用 XPS,也可以這樣設計:
重點區域(佔比高的屋頂面積)使用超低 U 值構造,拉低整體平均值
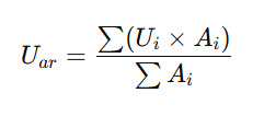
三、Uar值計算方式(簡單易懂說明)
當屋頂由多種材料與構造組成時,需計算整體平均Uar值:
,.png)
| 區塊 | 材料 | 面積 | U 值 |
| A區 | XPS(PS板)+RC | 100㎡ | 0.5 |
| B區 | 金屬浪板 | 50㎡ | 2.0 |
| C區 | 綠屋頂 | 50㎡ | 0.3 |
.png)
但因為建築實務中屋頂常由不同材料構成,所以「如何整體降低 Uar 值」是一個必須從設計端、選材端與面積配置端三方面著手的策略性工程。
降低 Uar 值的三大關鍵方向:
最直接有效的方式就是使用導熱係數值極低的材料在屋頂構造中佔比提高,特別推薦使用:| 隔熱材料 | U 值範圍(實測) | 特性 |
| XPS(押出聚苯乙烯板) 業界稱「PS板」 |
約 0.3~0.5 W/m²·K | 超低導熱係數、高抗壓、超低吸水 |
| PU 發泡 | 約 0.4~0.6 W/m²·K | 發泡施工方便,但長期耐久性略差且吸水率較高 |
| 岩棉 | 約 0.7~1.2 W/m²·K | 抗壓低且吸水率偏高 |
延伸思考:
🔸 是否能分區配置設計?讓最曬的區域用更厚的隔熱層🔸 結合綠屋頂設計 → 降低輻射熱吸收
🔸 換面積不如換材料 → 把材料從一般金屬板改為 XPS 會更有感
四、台灣綠建築法規規定標準
綠建築等級 vs. 屋頂 U 值 / Uar 值標準 對照表(最新版)
| 法規門檻(所有等級皆適用) | 等級建議值 | 節能說明 |
| ✔ 取得 EEWH 綠建築標章必須達到: U 值 / Uar 值 ≤ 0.8 W/m²·K (適用於:銅、銀、金、鑽石級) |
銅級 ≤ 0.8 W/m²·K | 法規門檻相符 |
| 銀級 ≤ 0.6 W/m²·K | 基本節能水準 | |
| 金級 ≤ 0.4 W/m²·K | 高效節能 | |
| 鑽石級 ≤ 0.3 W/m²·K | 頂尖節能表現 |
法規門檻(取得綠建築標章的基本資格)
想要申請「綠建築標章(EEWH)」,屋頂的 U 值 或 Uar 值必須 ≤ 0.8,這是所有等級共同適用的最低門檻。不論你申請合格級還是鑽石級,「Uar ≤ 0.8」是硬性條件,沒達標就不能拿標章。
取得標章之後,要達到銀≤ 0.6 W/m²·K、金≤ 0.4/m²·K、鑽石≤ 0.3/m²·K級別,就得符合更嚴格的隔熱效能要求
補充說明:
- EEWH 綠建築等級越高 → 越能享有:
- 容積獎勵
- 稅務優惠
- 政府標案加分
五、為什麼要使用XPS(PS板)?詳細優勢解析
| 特性 | 說明 |
| 極低熱傳導係數 | 約0.028~0.035 W/m·K,隔熱效果卓越 |
| 高抗壓強度 | 可承受20噸以上,適合地坪使用 |
| 吸水率極低 | 0.3%以下,長期維持隔熱性能 |
| 易於施工 | 重量輕、易裁切、施工快速 |
| 節能效益高 | 平均可降低能耗30%以上 |
| 相對低單價隔熱斷熱建材 | 目前市面上使用率最高外殼節能建材 |
結語(推薦使用 XPS 原因總結)
- 導熱係數超低(僅 0.03~0.036 W/m²·K)
- 高抗壓耐用,適合屋頂或地板隔熱
- 超低吸水率,耐久度與穩定性高
- 重量輕、施工快速,整體成本效益佳
- 幫助建築達成 EEWH 評等或法規容積獎勵